Հայաստանի հանրային առողջության ամսական զեկույց 1-12.2009
Աղիքային վարակներով հիվանդացության տարիքասեռային առանձնահատկությունները գյումրիում (1977-2006թթ.)
Գյումրիում աղիքային վարակների (ԱՎ) տարիքասեռային առանձնահատկությունները բացահայտելու համար հետահայաց համաճարակաբանական վերլուծության է ենթարկվել 1977-2006թթ երեսնամյա ժամանակահատվածը, որը, հաշվի առնելով, որ ժամանակի ընթացքում համաճարակային գործընթացի վրա ազդող գործոնները և վարակի տարածման պայմանները փոփոխվում են, դիտարկել ենք այդ ազդակների համեմատաբար կայուն համալիրի ազդեցության ժամանակահատվածներում.
- 1. Նախաերկրաշարժյան ժամանակաշրջան` 1977-1988թթ.
- 2. Երկրաշարժի և խորհրդային կարգերի փլուզման` 1989-1995թթ.
- 3. Հետերկրաշարժյան վերականգնման`1996-2006թթ.
ԱՎ-ի դիտարկվող ընթացաշարժում հիվանդացության միջին ցուցանիշը մինչև 14 տարեկան երեխաների համար կազմում է 714.7, (100 000 մինչև 14 տարեկան երեխաների հաշվով), իսկ մեծահասակների (15 տարեկան և բարձր) շրջանումª 168.3 100 000 մեծահասակ բնակչի հաշվով: Գյումրիում մեծահասակների և 0-14 տարեկան երեխաների ԱՎ-ով հիվանդացության երեսնամյա շարժընթացի տարիքասեռային առանձնահատկությունների վերլու-ծության արդյունքում պարզ դարձավ, որ նախաերկրաշարժյան տարիներին հիվանդացության մակարդակը երեխաների շրջանում եղել է բարձր: Այսպես` 0-14 տարեկանների հիվանդացության ցուցանիշը տատանվել է 566,6-ից (1978թ.) 1261.9 (1983թ.) 100 000 մինչև 14 տարեկան երեխաների հաշվով` միջինը կազմելով 943.1, 60.5%-ից (1979թ.) հասնելով 75.1% (1982թ.)` միջինը կազմելով 68.3%, այն դեպքում, երբ միջին տարեկան ցուցանիշը մեծահասակների շրջանում կազմել է 119.1` 100 000 տասնհինգ տարեկանից բարձր ազգաբնակչության հաշվով, տատանվելով 181.5-ից (1983թ.) 60.2 (1988թ)` միջինը կազմելով հիվանդացության 31.7%` տատանվելով 39.5%-ից (1977թ.) 24.9% (1982թ.): Հետերկրա-շարժյան տարիները բնութագրվում են նվազման միտումով: Հիվանդացությունը մեծահասակների շրջանում, համեմատած նախաերկրաշարժյան ժամանակաշրջանի միջին տարեկան մասնաբաժնի հետ, ավելացել է 6.7%-ով, իսկ երեխաների մոտ նվազել է 2.2 անգամ: Միջին տարեկան հիվանդացության մակարդակները 0-14 տարեկանների համար կազմել են 943.1, 735.7, 452.1 (մինչև 14 տ. 100 000 երեխաների հաշվով) (նկար 1):
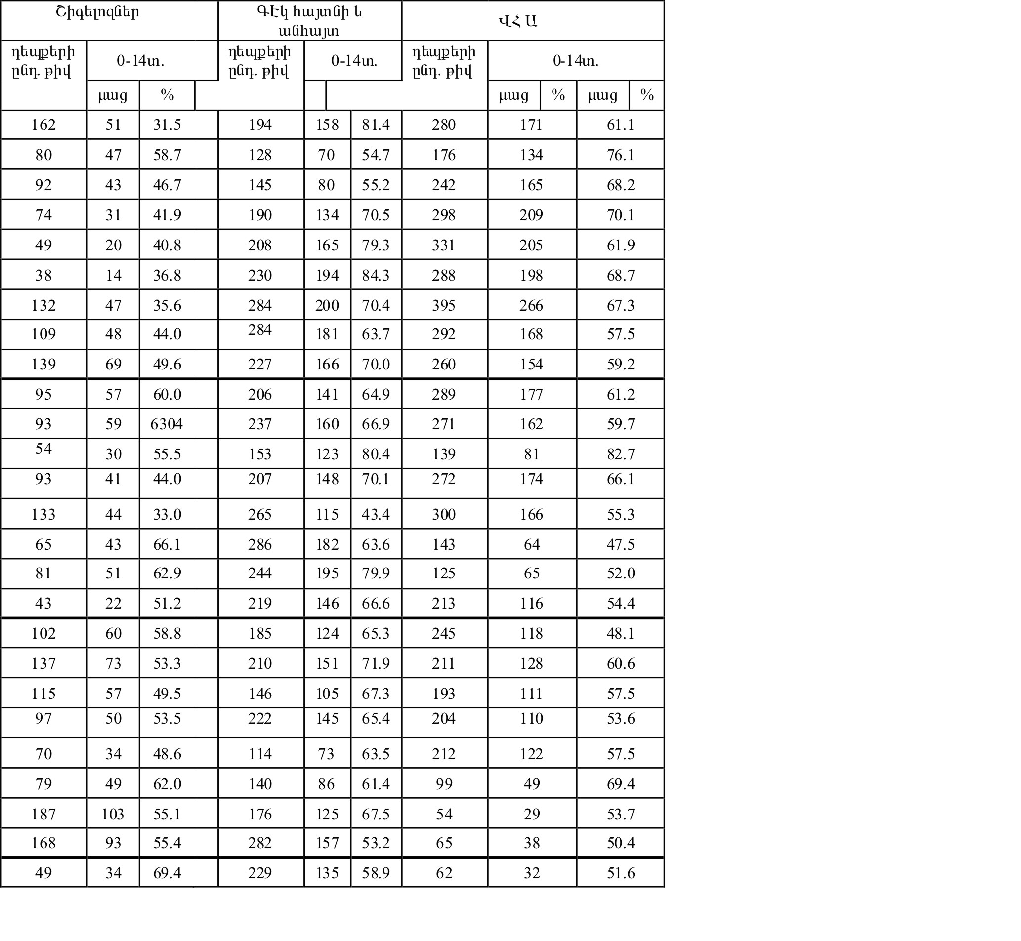
Տասնհինգ և բարձր տարիքի ազգաբնակչության հիվանդացութ-յունը կազմել է համապատասխանաբար 119.1, 181.1, 204.6` 100 000 15 և բարձր ազգաբնակչության հաշվով: Ընդհանուր հիվանդացության մեջ մինչև 14տարեկան և 15տարեկանից բարձր տարիքային խմբերի մասնաբաժինը ըստ ժամանակահատվածների կազմում է 68.3%, 64.1%, 58.3% և 31.7%, 41.3%, 39.4%: Երկրաշարժի տարիներին ԱՎ-ով հիվանդացության մեջ մեծահասակների մասնաբաժինը ավելացել է 9.6%-ով: Տիֆ-պարատիֆերով հիվանդացության մեջ 0-14 տարեկանների մասնաբաժինը կազմում է համապատասխանաբար 55.5%, 65.0% և 54.3%, միջինը` 54.9% (աղյուսակ 1):
Նկար 1. Մինչև 14 տարեկան երեխաների հիվանդացության շարժը
Այլ սալմոնելոզներով հիվանդների մեջ 0-14 տարեկանների մասնաբաժինը առանձին ժամանակաշրջաններում կազմում է 76.5%, 65.6% և 56.2%` միջինը` 66.1%: Շիգելոզներով հիվանդ երեխաների տեսակարար կշիռը աճում է` 44.0%, 53.5%, 65.3%, միջինը` 54.2%: Ճշտված և չճշտված էթիոլոգիայի գաստրոէնտերոկոլիտներով (ԳԷԿ) հիվանդացության մեջ 0-14 տարեկանները կազմում են միջինը 65.1%, իսկ առանձին ժամանակաշրջաններում նրանց չափաբաժինը նվազում է` 70.1%, 65.4% և 59.8%: ՎՀԱ-ի բազմամյա հիվանդացության միջին մասնաբաժինը կազմում է 58.9%, առանձին ժամանակահատվածների միջին հիվանդացման մակարդակը մինչև 14 տարեկանների շրջանում կազմում է 68.1%, 64.1% և 58.3% (նկար 2):

Նկար 2. Մինչև 14 տարեկան երեխաների հիվանդացության մասնաբաժինները
Բոլոր տարիների ընթացքում դեպքերի մոտ 2/3-ը, կամ 64.7% կազմել են մինչև 14 տարեկանները (ամեն 10 հիվանդից 6-7-ը երեխաներ են), ընդ որում այդ ցուցանիշը հասել է առավելագույնի 1983թ.` 1261.9 (100 000 մինչև 14 տարեկանների հաշվով): Ընդհանուր առմամբ, սկսած 1983թ., նկատվել է մանկական հիվանդացության տեսակարար կշռի նվազում` 75.1%-ից (1982թ.) մինչև 54.0% (2005թ.): Մանկական հիվանդացության կառուց-վածքում միջինը 46.2% բաժին է ընկնում 0-2 տարեկաններին, իսկ գումարային միջինը երեխաների կյանքի առաջին 6 տարիների ընթացքում կազմել է 69.5% (աղյուսակ 2, նկար 3):

Նկար 3. ՍԱՎ-ով հիվանդ երեխաների տարիքային կազմը 1977-2006թթ.
Հիվանդացման դեպքերի բաշխումը ըստ ժամանակաշրջանների հետևյալն է. 0-2 տարեկանների տեսակարար կշիռը կազմում է 42.3%, 53.2%, 45.9%, 0-6 տարեկաններինը` 63.7%, 74.6%, 69.3%: Պարզ երևում է, որ երկրաշարժի տարիներին մինչև 6 տարեկանների մասնաբաժինը մանկական հիվանդացության մեջ գերազանցել է միջին բազմամյա ցուցանիշը: Սկսած 1988թ-ից` մանկական հիվանդացության կառուցվածքում դիտվում է 0-6 տարեկանների տեսակարար կշռի աճ 68.1%-ից (1988թ.) 86.6%, (2005թ.)` հիմնականում մինչև 2 տարեկանների հաշվին:
Աղիքային վարակներով հիվանդացած 0-14 տ. երեխաների տարիքային կազմը Գյումրիում
|
|
Տարեթվեր |
0-14տ. երեխաներ դեպքերի |
|
Այդ թվում |
|
|||
|
0-2 տ |
3-6 տ |
7-14 տ |
||||||
|
բաց |
% |
բաց |
% |
բաց |
% |
|||
|
|
|
ընդհանուր թիվ |
թիվ |
|
թիվ |
|
թիվ |
|
|
Նախաերկրաշարժյան ժամանակաժրջան |
1977 |
460 |
239 |
51.9 |
64 |
13.9 |
157 |
34.2 |
|
1978 |
270 |
125 |
46.3 |
69 |
25.6 |
76 |
28.1 |
|
|
1979 |
313 |
119 |
38.0 |
99 |
31.6 |
95 |
30.4 |
|
|
1980 |
432 |
223 |
51.6 |
73 |
16.9 |
136 |
31.5 |
|
|
1981 |
435 |
196 |
45.1 |
109 |
25.1 |
130 |
29.8 |
|
|
1982 |
488 |
135 |
27,7 |
121 |
24,8 |
232 |
52.5 |
|
|
1983 |
580 |
288 |
49.7 |
139 |
23.9 |
153 |
26.4 |
|
|
1984 |
479 |
273 |
57,0 |
86 |
17,7 |
120 |
25,0 |
|
|
1985 |
448 |
194 |
43,3 |
122 |
27,2 |
132 |
29,5 |
|
|
1986 |
425 |
201 |
47.3 |
114 |
26.8 |
110 |
25.9 |
|
|
1987 |
439 |
132 |
30,0 |
112 |
25.6 |
195 |
44.5 |
|
|
1988 |
270 |
122 |
45.2 |
62 |
22.9 |
86 |
34.9 |
|
|
միջինը |
420 |
187 |
42.3 |
98 |
21.4 |
135 |
36.3 |
|
|
Երկրաշարժյան ժամանակաշրջան |
1989 |
353 |
150 |
42.5 |
103 |
29.2 |
100 |
28.3 |
|
1990 |
315 |
225 |
71.4 |
51 |
16.2 |
39 |
12.4 |
|
|
1991 |
424 |
319 |
75.2 |
62 |
14.6 |
43 |
10.2 |
|
|
1992 |
386 |
257 |
66.5 |
69 |
17.8 |
60 |
15.7 |
|
|
1993 |
351 |
179 |
50.0 |
115 |
32,8 |
57 |
17.4 |
|
|
1994 |
406 |
100 |
24.6 |
44 |
10.8 |
262 |
64.6 |
|
|
1995 |
318 |
134 |
42,1 |
92 |
28,9 |
92 |
29.4 |
|
|
միջինը |
365 |
195 |
53.2 |
77 |
21.4 |
93 |
25.4 |
|
|
Հետերկրաշարժյան ժամանակաշրջան |
1996 |
263 |
87 |
33.1 |
64 |
24.3 |
112 |
42.6 |
|
1997 |
203 |
104 |
51.7 |
48 |
23,6 |
51 |
25.5 |
|
|
1998 |
283 |
140 |
50.2 |
80 |
28,3 |
63 |
22,3 |
|
|
1999 |
307 |
145 |
46,1 |
72 |
23,4 |
90 |
29,3 |
|
|
2000 |
217 |
104 |
47.9 |
55 |
25.3 |
58 |
26.8 |
|
|
2001 |
158 |
58 |
36.7 |
45 |
28.5 |
55 |
60.8 |
|
|
2002 |
165 |
76 |
46.1 |
47 |
28.5 |
42 |
25.4 |
|
|
2003 |
159 |
73 |
45.9 |
30 |
18.9 |
56 |
35.2 |
|
|
2004 |
182 |
82 |
45,0 |
48 |
26.5 |
52 |
28.7 |
|
|
2005 |
182 |
96 |
53.3 |
60 |
33.3 |
26 |
14,3 |
|
|
2006 |
210 |
101 |
48.1 |
51 |
24.3 |
58 |
27.6 |
|
|
միջինը |
212 |
97 |
45.9 |
55 |
23.4 |
60 |
30.7 |
|
|
|
բազմ . միջ |
331 |
156 |
46.2 |
77 |
23.3 |
98 |
30.5 |
Այս տարիքային խմբի տեսակարար կշիռը 1989-1995թթ. և 1996¬2006թթ. աճել է 10.9% և 3,6%-ով: Հիվանդացությունը 7-14 տարեկանների մոտ վերականգնման տարիներին կազմել է 30.7%` նախորդ ժամանակաշրջանների 36,3% և 25.4%-ի փոխարեն: Վերականգնման տարիներին 15 և բարձր տարիքի անձանց շրջանում ամենից շատ ախտահարվում է 25-34 տարիքային խումբը, 15-24 և 35-44 տարիքային խմբերը զբաղեցնում են 2-րդ և 3-րդ տեղերը (նկար 4):

Նկար 4. ՍԱՎ-ով հիվանդների տարիքային կազմը 1977-2006թթ.
Վերը նշված 3 տարիքային խմբերը միասին վերցրած կազմում են մեծահասակների հիվանդացության 71.3%-ը: Քառասունհինգ տարեկանից բարձր ԱՎ-ի հաճախականությունը կտրուկ նվազել է` 45-54 տ., 55-64 տ., և 65 և բարձր տարիքի համար համապատասխանաբար կազմելով 3.2%, 4,9% և 3.1%: Իսկ երեսնամյա ընթացաշարժում տարիքային բաշխումը ունի հետևյալ պատկերը` մինչև 14 տարեկան երեխաների մոտ կազմելով 68.3%, 15 տարեկան և բարձր երեխաների մոտ` 31.7%, այդ թվում 15-24տ.` 9.3%, 25-34տ.` 10.6%, 35-44տ.` 7.2%, 45-54տ.` 1.3%, 55-64տ.` 2.1% և 65 տարեկանից բարձրերի մոտ` 1.2%:
ԱՎ-ով հիվանդացության սեռային պատկանելիության ուսումնասիրությունը դիտարկվող ժամանակաշրջանում` 1977-2006թթ., ցույց տվեց, որ տարբեր սեռերի մոտ ԱՎ-ով հիվանդա-ցության էական տարբերություն չի նկատվում, տղամարդկանց մոտ
այն մի փոքր գերակշռում է` կազմելով ԱՎ-ի ընդհանուր հիվանդացության միջինը կազմում է 50.3%-ը, բազմամյա
ընթացաշարժում տատանվելով 36.4-70.1%:

Նկար 5. ԱՎ-ով հիվանդացության սեռային կազմը վերականգնման տարիներին
Տղամարդկանց մոտ ԱՎ-ով հիվանդացության տեսակարար կշիռը 1989-1995թթ. գերազանցել է միջին բազմամյա ցուցանիշը` հասնելով 53.5%-ի (աղյուսակ 3, նկար 5): Առանձին նոզոլոգիական ձևերի համար ԱՎ-ով հիվանդացության տարիքա-սեռային կազմը տարբեր է: Այսպես` այլ սալմոնելոզային վարակների 9.5%-ը, շիգելոզների 15%, ստաֆիլակոկային և այլ պայմանական ախտածին ԳԷԿ-ի 24% բաժին են ընկնում նախադպրոցական տարիքի տղաներին: Տարբեր տարիքային խմբերին բնորոշ է հարուցիչների տարբեր ընտրողականություն: Որովայնային տիֆով հիվանդացածների 68-75%-ը 7-14 տարեկան երեխաներն են, մինչև 5 և 45 տարեկանից բարձր տարիքային խմբերում հանդիպում է հազվադեպ` 0.9%: Հիվանդացածների 20%-ը 20-30 տարեկան տղամարդիկ են: Այլ սալմոնելոզային վարակների նկատմամբ բարձր է մինչև 1 տարեկան աղջիկների ընկալությունը` 35%: Մինչև 2 տարեկանների մոտ բարձր է շիգելոզների ընկալությունը` 32.5%: S. flexneri շճատիպը գերազան-ցում է 0-14 տարեկան երեխաների մոտ` 80%, S. sonnaei շճատիպը` մեծահասակների մոտ` 55%: ՎՀԱ-ի 75%-ը բաժին է ընկնում 0-14 տարեկաններին, որի մեջ 71.8%-ը 7-14 տարիքային խումբն է: Հաճախ հիվանդանում են 15-36 տարեկան տղամարդիկ` հատկապես արտագնա աշխատանքով զբաղվողները և սոցիալապես անապահով խավը:
Աղիքային վարակների դեպքերի բաշխվածությունը ըստ սեռի 1987¬2006թթ. 0-14 տ. երեխաների մասնաբաժինը ՍԱՎ ընդհանուր հիվանդացության մեջ 1977-2006թթ.Գյումրիում
|
|
Տարեթիվ |
Ընդհ. աղիք վարակներ |
|
տղամարդ |
|
կին |
|
|||
|
բաց. թիվ |
|
% |
բաց. թիվ |
|
|
% |
||||
|
Նախաերկրաշարժյանժամանակաժրջան |
1977 |
745 |
457 |
|
61.3 |
288 |
|
|
38.7 |
|
|
1978 |
421 |
267 |
|
63.4 |
154 |
|
|
36.6 |
||
|
1979 |
517 |
282 |
|
54.5 |
235 |
|
|
45.5 |
||
|
1980 |
646 |
453 |
|
70.1 |
193 |
|
|
29.9 |
||
|
1981 |
653 |
424 |
|
64.9 |
229 |
|
|
35.1 |
||
|
1982 |
650 |
330 |
|
50.8 |
320 |
|
|
49.2 |
||
|
1983 |
912 |
400 |
|
43.9 |
512 |
|
|
56.1 |
||
|
1984 |
784 |
416 |
|
53.1 |
368 |
|
|
46.9 |
||
|
1985 |
703 |
256 |
|
36.4 |
447 |
|
|
63.6 |
||
|
1986 |
658 |
354 |
|
53.8 |
304 |
|
|
46.2 |
||
|
|
1987 |
676 |
295 |
43.6 |
381 |
56.4 |
|
1988 |
393 |
201 |
51.1 |
192 |
48.9 |
|
|
միջինը |
647 |
345 |
48.7 |
302 |
51.3 |
|
|
Երկրաշարժայն ժամանակաշրջան (1977-1988թթ.) |
1989 |
766 |
407 |
53.1 |
359 |
46.9 |
|
1990 |
679 |
364 |
53.6 |
315 |
46.4 |
|
|
1991 |
609 |
402 |
66.0 |
207 |
34.0 |
|
|
1992 |
603 |
338 |
56.0 |
265 |
44.0 |
|
|
1993 |
597 |
318 |
53.3 |
279 |
46.7 |
|
|
1994 |
628 |
289 |
46.0 |
339 |
54.0 |
|
|
1995 |
511 |
236 |
46.2 |
275 |
53.8 |
|
|
միջինը |
628 |
336 |
53.5 |
291 |
46.5 |
|
|
Հետերկրաշարժյան ժամանակաշրջան (1996-2006թթ.) |
1996 |
440 |
220 |
50.0 |
220 |
50.0 |
|
1997 |
358 |
216 |
60.3 |
142 |
39.7 |
|
|
1998 |
453 |
164 |
36.2 |
289 |
63.8 |
|
|
1999 |
551 |
226 |
41.0 |
325 |
59.0 |
|
|
2000 |
366 |
191 |
52.2 |
175 |
47.8 |
|
|
2001 |
275 |
136 |
49.5 |
139 |
50.5 |
|
|
2002 |
254 |
112 |
44.1 |
142 |
55.9 |
|
|
2003 |
256 |
123 |
48.0 |
133 |
52.0 |
|
|
2004 |
319 |
156 |
48.9 |
163 |
51.1 |
|
|
2005 |
337 |
165 |
49.0 |
172 |
51.0 |
|
|
2006 |
360 |
197 |
54.7 |
163 |
45.3 |
|
|
միջինը |
361 |
137 |
48.7 |
188 |
51.3 |
|
|
|
բազմամյա միջինը |
537 |
280 |
50.3 |
258 |
49.7 |
|
|
Տարի |
Որ. տիֆ, պարատիֆեր |
այլ |
սալմոնելոզներ |
|||||
|
դեպքերի ընդ. թիվ |
0-14տ. |
դեպքերի ընդ. թիվ |
|
0-14 տ |
|||||
|
բաց |
% |
բաց |
% |
||||||
|
Նախաերկրաշարժյանժամանակաժրջան |
1977 |
20 |
12 |
60.0 |
89 |
|
68 |
76.4 |
|
|
1978 |
12 |
5 |
41.6 |
25 |
|
14 |
56.0 |
||
|
1979 |
15 |
10 |
66.6 |
23 |
|
15 |
65.2 |
||
|
1980 |
62 |
39 |
62.9 |
22 |
|
19 |
86.3 |
||
|
1981 |
26 |
11 |
42.3 |
39 |
|
34 |
87.2 |
||
|
1982 |
6 |
3 |
50.0 |
88 |
|
79 |
89.7 |
||
|
1983 |
8 |
3 |
37.5 |
93 |
|
64 |
68.8 |
||
|
1984 |
3 |
3 |
100 |
96 |
|
79 |
82.3 |
||
|
1985 |
2 |
1 |
50.0 |
75 |
|
58 |
77.3 |
||
|
1986 |
- |
- |
- |
68 |
|
50 |
73.5 |
||
|
1987 |
1 |
1 |
100 |
74 |
|
57 |
77.0 |
||
|
1988 |
1 |
- |
- |
46 |
|
36 |
78.3 |
||
|
միջին |
13 |
7 |
55.5 |
62 |
|
48 |
76.5 |
||
|
Երկր |
1989 |
2 |
- |
- |
66 |
|
28 |
42.4 |
|
|
1990 |
- |
- |
- |
185 |
|
26 |
14. |
||
|
|
1991 |
- |
- |
- |
159 |
113 |
71.0 |
|
1992 |
2 |
- |
- |
126 |
102 |
80.9 |
|
|
1993 |
1 |
1 |
100 |
64 |
48 |
95.0 |
|
|
1994 |
- |
- |
- |
70 |
54 |
77.1 |
|
|
1995 |
- |
- |
- |
57 |
45 |
78.9 |
|
|
միջին |
1 |
0 |
65.0 |
104 |
59 |
65.6 |
|
|
Հետերկրաշարժյան ժամանակաշրջան |
1996 |
- |
- |
- |
44 |
34 |
77.3 |
|
1997 |
7 |
2 |
28.6 |
33 |
17 |
56.6 |
|
|
1998 |
1 |
- |
- |
35 |
26 |
74.3 |
|
|
1999 |
- |
- |
- |
36 |
19 |
52.7 |
|
|
2000 |
1 |
- |
- |
25 |
16 |
64.0 |
|
|
2001 |
- |
- |
- |
23 |
14 |
60.9 |
|
|
2002 |
5 |
4 |
80.0 |
29 |
8 |
27.6 |
|
|
2003 |
- |
- |
- |
14 |
10 |
71.4 |
|
|
2004 |
- |
- |
- |
26 |
12 |
46.1 |
|
|
2005 |
- |
- |
- |
45 |
17 |
37.7 |
|
|
2006 |
- |
- |
- |
16 |
8 |
50.0 |
|
|
միջին |
1 |
1 |
54.3 |
30 |
17 |
56.2 |
|
|
|
բազմ.միջ |
6 |
3 |
54.9 |
60 |
39 |
66.1 |

|
56 |
43 |
76.8 |
129 |
69 |
53.5 |
67 |
32 |
47.7 |
|
62 |
38 |
60.3 |
139 |
104 |
73.2 |
19 |
11 |
78.9 |
|
22 |
17 |
77.3 |
155 |
87 |
56.1 |
65 |
45 |
69.2 |
|
94 |
65 |
69.1 |
174 |
99 |
54.7 |
25 |
6 |
24.0 |
|
64 |
47 |
73.4 |
178 |
104 |
58.4 |
50 |
14 |
28.0 |
|
63 |
45 |
71.4 |
229 |
136 |
56.9 |
52 |
21 |
40.4 |
|
83 |
52 |
65.3 |
177 |
107 |
59.8 |
70 |
36 |
57.1 |
|
90 |
47 |
54.2 |
200 |
132 |
65.1 |
182 |
109 |
58.9 |
24.12.2009 Կարդացեք նաև
Տուբերկուլոզի համաճարակի նոր ալիքի պայմաններում մեծ նշանակություն է տրվում հիվանդության վաղաժամ հայտնաբերմանը և նրա կանխարգելմանը ազգաբնակչության խոցելի խմբերում (Корецкая Н.М., 2002; Чуканова В.П. и др., 2002; Гельберг И.С....
23.12.2009
ԱՄԵՆԱԸՆԹԵՐՑՎԱԾ ՀՈԴՎԱԾՆԵՐԸ
-
Ժողովրդական դեղամիջոցներ
-
Հղիություն. 4-րդ ամիս
-
Հղիություն. 7-րդ ամիս
-
Կոճապղպեղ նույնն է՝ իմբիր, Ginger եւ Zingiber Officinale
-
«Արագիլ» հիմնադրամը ստեղծված է՝ օգնելու անպտղությամբ տառապող զույգերին. Կարինե Թոխունց
-
Հղիություն. 6-րդ ամիս
-
Հղիություն. 2-րդ ամիս
-
Ամուսնական առաջին գիշերը
- 4-7 ամսական երեխաների սնուցումը
-
Ընկերության մասին
-
Խնձորը` պզուկների դեմ. ազատվիր նրանցից 1 գիշերվա ընթացքում
-
Ինչպես ազատվել անցանկալի մազերից
-
Պարզվում է ապագա երեխայի սեռը կախված է մայրիկի սնունդից
-
Դդում
-
Հիվանդություն, որը փոխում է մեր կյանքը` կրծագեղձի քաղցկեղ
-
Կոճապղպեղ՝ նիհարելու համար (կոճապղպեղի թեյ)
-
Սեռական գրգռում
-
Արգանդի միոմա. նախանշանները, պատճառներն ու բուժումը
-
Հղիություն. 1-ին ամիս
-
Երիցուկ դեղատնային - Ромашка аптечная - Matricaria chamomilla L.
-
Չիչխանի օգտակար հատկությունները
-
Քարավուզ (նույն ինքը՝ նեխուր)
-
Ինչպես ազատվել բերանի վատ հոտից`պարզ միջոց
-
Դիմակներ` մազերի համար
-
Կրծքի ցավե՞ր ունեք. ինչ անել
-
Հեշտոցային արտադրության պատճառները. մասնագետի անդրադարձը
-
Ընդհանուր տեղեկություններ մարմնի համակարգերի մասին
- Բերանի խոռոչի լորձաթաղանթի ախտահարումը սովորական բշտախտի ժամանակ (սկիզբը` նախորդ համարում)
-
Հիվանդություն, որի համար պետք չէ ամաչել (թութք)
-
Ընտրություն ըստ հորոսկոպի
- Խոսենք այդ մասին. ձեռնաշարժություն
-
Հղիությունը և նախապատրաստվելը դրան
-
Երբ գլխացավն ախտանիշ է: Հանճարեղ և օժտված մարդկանց հիվանդություն
-
Լեղաքարային հիվանդություն. բուժման մեթոդները
-
Սեռական թուլության առաջին նախանշանները. news.am
-
Ուլտրաձայնային դոպլերոգրաֆիա (երկակի (դուպլեքս) անոթների)
-
Էկզեմայի տեսակները և բուժումը
-
Իրիդիոսքրինինգ
-
ՈւՆԱԲԻ: Արևելյան բժշկության գաղտնիքները
-
Գամմա-դանակը նշտարի փոխարեն















Գիտական բժշկություն
Հիվանդություններ
Ավանդական բժշկություն
Առողջ ապրելակերպ
Կոսմետոլոգիա
Բժշկական իրավունք
Ալգորիթմեր, թեստեր
Թվեր, փաստեր, դեպքեր
Պատմական խրոնիկա
Աֆորիզմներ
Կարիերային սանդուղքով
Երեխա
Կին
Տղամարդ
Ռեյթինգային համակարգ